Building Wreckers Local 1421

**All Hoisting tests with the state require reading and writing in English. If you are going for your 2A/1C , it is required to pay for each processing fee ($75 per restriction). After you mail your initial application and copies of the documents requested, please keep an eye on the mail for a letter that will come with the date and address of your test. If 2 weeks go by and your payment has not been processed/no date has been received..please contact the state:


 Call Office of Public Safety and Inspections, Division of Occupational Licensure, Main Phone Number  (617) 727-3200


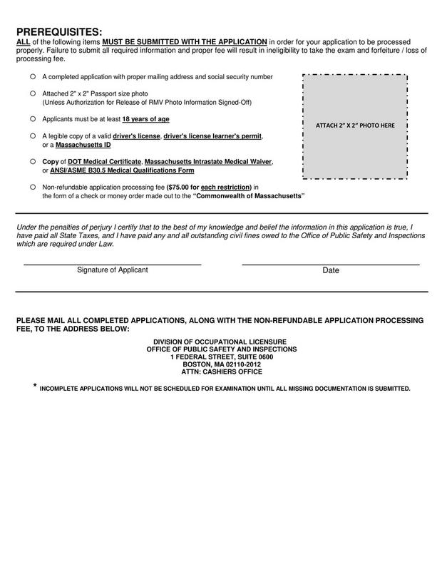
Application below can also be found on the state's website

CLICK HERE TO DOWNLOAD APPLICATION


thank you!

-Local 1421

in 2023 THE STATE IS now UPLOADING RENEWAL applications ONLINE

​https://www.mass.gov/how-to/office-of-public-safety-and-inspection-opsi-license-renewal

CLICK HERE TO CREATE A LOGIN


If looking for a status update on a license renewal:
 please put your full OPSI license number, including prefix, in the subject line. 
Email Office of Public Safety and Inspections, Division of Occupational Licensure at OPSI-info@mass.gov